Det beror på vilken risk man tar, men räkna med att det tar några år. Exakt hur många kan man snabbt räkna ut med hjälp av “The rule of 72”. Den säger att om man tar 72 dividerat med sin årliga avkastning i procent så får man ut på ett ungefär hur lång tid det tar att fördubbla sitt kapital.
Exempel:
Om man förväntar sig 7 % avkastning årligen tar ca det 72/7 = 10,29 år.
Varför fungerar då denna regel? Jo det tar nämligen 72 år för att fördubbla sitt kapital om man får 1 % årligen, och ger därmed en enkel tumregel för små avkastningar. Ju högre avkastning man får desto mindre precis är regeln. För skulle den gälla alltid så skulle det bara krävas 72 % för att fördubbla sina pengar på ett år, och det är ju inte sant.
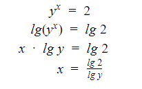
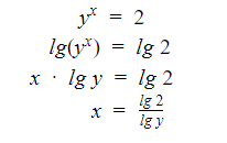
Hur räknar man exakt ut tiden? Då krävs nedanstående beräkning där y är förändringsfaktorn för sin förväntade avkastning och x är tiden.
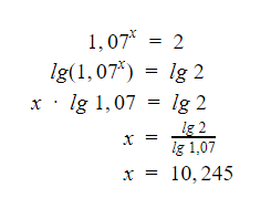
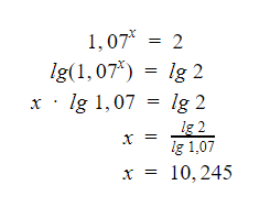
Nu räknar vi ut hur lång tid det tar att fördubbla pengarna med 7 % avkastning om man använder den exakta beräkningen:





