Utdelningsinvesterare på väg mot ekonomiskt oberoende.
Hur bra är du på procent?
En grundläggande förståelse för procent är viktig för att förstå aktiers utveckling och prissättning. Testa dina procentkunskaper i Aktiekemisten procentprov.
Fråga 1 En aktie sjunker med 10% en dag och sedan med 10% igen nästa dag. Hur mycket har den sjunkit med sedan början?
Svar: 19 % Exempel: Tänk att aktien kostar 100 kr. När den sjunker med 10% första dagen kostar den 0,9 x 100 = 90 kr. Nästa dag sjunker aktien med 10% igen, men den här gången från 90 kr. Det ger 0,9 x 90 = 81 kr. Den har sjunkit med totalt 19 kr, jämfört med de 100 kr den kostade från början, d.v.s. med 19%. Ett lättare sätt är att använda upprepad förändringsfaktor: 100 x 0,9 x 0,9 = 81 kr, vilket också ger en minskning med 19 %.
Fråga 2 En aktie sjunker med 20%. Hur många procent behöver den gå upp för att ligga på plus minus noll?
Svar: 25 % Exempel: Tänk att aktien kostar 100 kr. När den sjunker med 20% kostar den 0,8 x 100 = 80 kr. Då måste den öka med 20 kr för att komma upp på 100 kr igen. 20 kr av 80 kr motsvarar 25 % då 20/80=0,25. Alltså måste den öka med 25 %
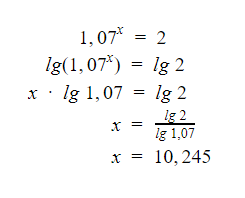
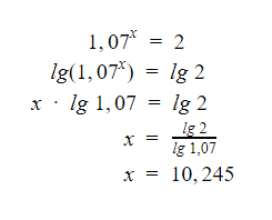
Fråga 3 En aktie ökar i genomsnitt med 7% per år. Hur många år tar det för den att fördubbla priset?
Svar: ca 10 år (10 år 3 månader) Exempel: Börja med 100 kr. Multiplicera med 1,07 som är förändringsfaktorn för en ökning med 7% tills att du kommit till ca 200 kr. Antalet gånger du multiplicerar med 1,07 är antalet år. Det mer exakta sättet är att räkna med logaritmer enligt nedan: